2(x1/x)^25(x1/x2)18=0 This deals with adding, subtracting and finding the least common multipleSolve for x 1/(x1)2/(x^2)=0 Find the LCD of the terms in the equation Tap for more steps Finding the LCD of a list of values is the same as finding the LCM of the denominators of those values Since contain both numbers and variables, there are four steps to find the LCM Explanation 1 2 2 x = 1 x ← LCM of denominators = 2x We have an equation, so we can do anything as long as you do the same to both sides Multiply each term by the LCM of the denominators to cancel them 2x × 1 2 2x × 2 x = 2x ×1 x This leaves the equation as x 4 = 2 x = 2 −4 x = − 2
Solve Quadratic Equation With Step By Step Math Problem Solver
2(x-1/x)^2-5(x 1/x 2) 18=0
2(x-1/x)^2-5(x 1/x 2) 18=0-Simple and best practice solution for (x1/x)^25(x1/x)6=0 equation Check how easy it is, and learn it for the future Our solution is simple, and easy to understand, so don`t hesitate to use it as a solution of your homeworkSolve for x 2(2x1)=x5 Simplify Tap for more steps Apply the distributive property Multiply Tap for more steps Multiply by Multiply by Move all terms containing to the left side of the equation Tap for more steps Subtract from both sides of the equation Subtract from



X 1 X 2 3 Which Expression Is Equivalent To H 4 Chegg Com
Plot log((x^3 6 x^2 5 1^2 x 1^3) 0) continued fraction 1/((x^3 6 x^2 5 1^2 x 1^3) 0 > 0;X^45x^24=0 \sqrt{x1}x=7 \left3x1\right=4 \log _2(x1)=\log _3(27) 3^x=9^{x5} equationcalculator 2(x1)=52x en Related Symbolab blog posts Middle School Math Solutions – Equation Calculator Welcome to our new "Getting Started" math solutions series Over the next few weeks, we'll be showing how SymbolabSimplify (x2)(x1)(x1)(x5) Expand using the FOIL Method Tap for more steps Apply the distributive property Apply the distributive property Apply the distributive property Simplify and combine like terms Tap for more steps Simplify each term Tap for more steps Multiply by
Let #x = sin theta# Then #int (1x^2)^05 dx = int (1sin^2 theta)^05 ((d sin theta)/(d theta)) d theta# #color(white)(int (1x^2)^05 dx) = int (cos^2 theta)^05 (cos theta) d theta#Solve your math problems using our free math solver with stepbystep solutions Our math solver supports basic math, prealgebra, algebra, trigonometry, calculus and moreHave a question about using WolframAlpha?
Compute answers using Wolfram's breakthrough technology & knowledgebase, relied on by millions of students & professionals For math, science, nutrition, historyDivide both sides of the equation by 2 to have 1 as the coefficient of the first term x2 (5/2)x1 = 0 Subtract 1 from both side of the equation x2 (5/2)x = 1 Now the clever bit Take the coefficient of x , which is 5/2 , divide by two, giving 5/4 , and finally square it giving If cos^1 x/2 cos^1 y/3 = θ, then 9x^2 12xy cos θ 4y^2 is equal to A36 6 sin^2 θ D 36 cos^2 θ asked Apr 5 in Trigonometry by Yaad (



Step By Step Math Wolfram Alpha Blog



Factoring Quadratic Equations
Short Solution Steps \frac { 5 } { 2 x } \frac { x 1 } { x 2 } 2 x 5 − x − 2 x 1 To add or subtract expressions, expand them to make their denominators the same Least common multiple of 2x and x2 is 2x\left (x2\right) Multiply \frac {5} {2x} times \frac {x2} {x2}Find Birdies 21 x 11 x 0385m 8 In 1 Monolith Modular Raised Garden Kit at Bunnings Visit your local store for the widest range of productsWe have ,x 1/x=5 Then x1=5x 5xx=1 4x=1 X=1/4 Now we have the value of x X^21/x^2=(1/4)^21/(1/4)^2=(1/16)1/( 1/16) (15/16) × 16/1= 15



Solving Equations Algebraically



X 1 X 2 3 Which Expression Is Equivalent To H 4 Chegg Com
The Quadratic equation is {x/(x1)}^2 5{x/(x1)} 6 = 0 {x/(x1)}^2 2{x/(x1)} 3{x/(x1)} 6 = 0 Taking {x/(x1)} outside we get, {x/(x1)}{x/(x1)} 2 3Simple and best practice solution for x25 (2x1)=x15 equation Check how easy it is, and learn it for the future Our solution is simple, and easy to understand, so don`t hesitate to use it as a solution of your homework If it's not what You are looking for type in the equation solver your own equation and let us solve itWelcome to Sarthaks eConnect A unique platform where students can interact with teachers/experts/students to get solutions to their queries



1



How To Solve X 1 X 2 X 3 X 4 10 3 Quora
Find the value of k so that sum of the roots of the quadratic equation is equal to the product of the roots (k 1)x^2 (2k 1) x 9 = 0, k 1 ≠ 0 asked in Mathematics by Falak (25mm x 50mm Treated Timber Batten (2'' x 1'') (18) £122 Inc VAT £122 Per M Add to Trolley 1 Items Found Show 15 30 per pageIntegrate 1/(cos(x)2) from 0 to 2pi;



R D Sharma Solutions Class 10th Ch 8 Quadratic Equations Exercise 8 3



What S The Same And What S Different Ppt Download
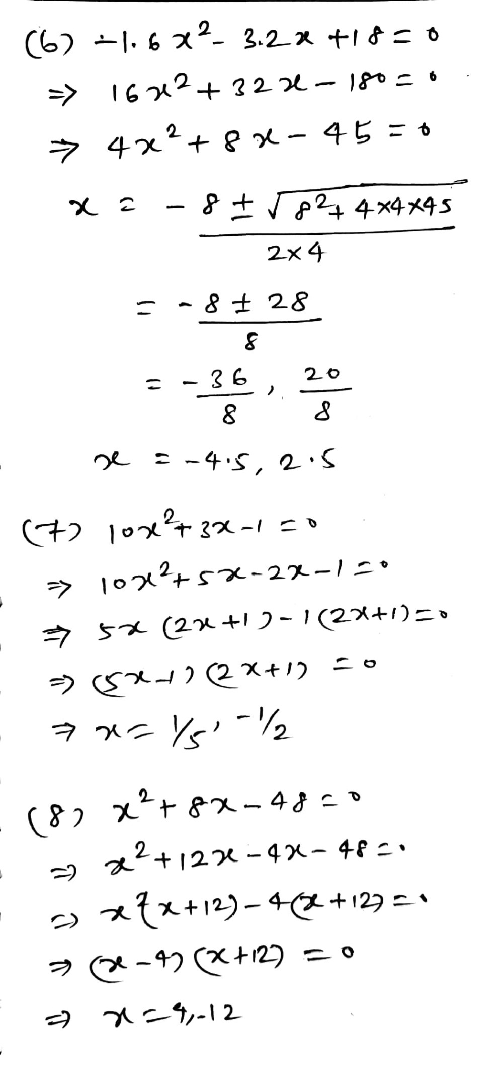
In the figure given, l parallel m and p parallel q Find the values of x,y and z 15(3)6=15(3)6 plz solve it full and send me pic OT os an request sum of the 1/6 of a number and 3/8 the same number is 55 find the numberEquations Tiger Algebra gives you not only the answers, but also the complete step by step method for solving your equations 2(x1/x)^25(x^22x1/x)18=0 so that you understand better2(x1/x)²5(x1/x2)18=0 please expalain step by step solution



Link Springer Com Content Pdf m 3a978 1 4419 8532 3 2f1 Pdf



Q Tbn And9gcttubnmdkxtmea0zkufq3c Awxvgbhaydunczvla2d1yfmmlyir Usqp Cau
If begin{bmatrix} 1 &x &1 end{bmatrix}begin{bmatrix} 1 &2 &3 \ 0&5 &1 \ 0&3 &2 end{bmatrix}begin{bmatrix} x\ 1\ 2 end{bmatrix} =0, then the value of x is If Delta_{r}=leftbegin{array}{ccc} 2 r1 & { }^{m} C_{r} & 1 \ m^{2}1 & 2^{m} & m1 \ sin ^{2}left(m right) & sin ^{2}(m) & sin ^{2}(m1) end{array}right then the value s u m r = 0 m D e l t a r = Evaluate ∫(2x 1)/(x 1) (x 2)(x 3) dx asked in Indefinite Integral by Shyam01 (504k points) integrals;The quadratic formula gives two solutions, one when ± is addition and one when it is subtraction This equation is in standard form ax^ {2}bxc=0 Substitute 1 for a, 5 for b, and 18 for c in the quadratic formula, \frac {b±\sqrt {b^ {2}4ac}} {2a} This equation is in standard form a x 2 b x



Solve Compound Inequalities Beginning Algebra



Graph Graph Equations And Equation Systems With Step By Step Math Problem Solver
2135 x 3660mm 1"x 1"x 12g (7'x 12') Galvanised Welded Mesh EACH £ Pre Galv 25 x 25 x 25mm 2400 x 1250mm Welded Mesh EACH £2570 views around the world You can reuse this answer Creative Commons LicenseContact Pro Premium Expert Support »



Extracting Square Roots



Solving Equations Algebraically
Probability of (x^3 6 x^2 5 1^2 x 1^3) 0 < 1 when x is lognormal distributed;Simple and best practice solution for (5x^22x1)(x^25x2)=0 equation Check how easy it is, and learn it for the future Our solution is simple, and easy to understand, so don`t hesitate to use it as a solution of your homework If it's not what You are looking for type in the equation solver your own equation and let us solve itEnjoy the videos and music you love, upload original content, and share it all with friends, family, and the world on



How To Factor A Cubic Polynomial 12 Steps With Pictures



Quadratic Inequalities Equations And Inequalities Siyavula
Solve for x x/21=x/52 x 2 − 1 = x 5 2 x 2 1 = x 5 2 Move all terms containing x x to the left side of the equation Tap for more steps Subtract x 5 x 5 from both sides of the equation x 2 − 1 − x 5 = 2 x 2 1 x 5 = 2 To write x 2 x 2 as a fraction with aTo ask Unlimited Maths doubts download Doubtnut from https//googl/9WZjCW `x22x3=x1` Find the value of x if (1 x 1)(1 3 2), (2 5 1), (15 3 2)(1), ( 2), (x)=0 Welcome to Sarthaks eConnect A unique platform where students can interact with teachers/experts/students to get solutions to their queries



Selina Concise Mathematics Class 10 Icse Solutions Quadratic Equations A Plus Topper



How To Factor A Cubic Polynomial 12 Steps With Pictures
Solve your math problems using our free math solver with stepbystep solutions Our math solver supports basic math, prealgebra, algebra, trigonometry, calculus and moreSimple and best practice solution for 2(x1)2(3x1)=0 equation Check how easy it is, and learn it for the future Our solution is simple, and easy to understand, so don`t hesitate to use it as a solution of your homeworkView more examples » Access instant learning tools Get immediate feedback and guidance with stepbystep solutions and Wolfram Problem Generator Learn



2



Section 2 Quadratic Functions
We can revert to an expression involving the original variable x by recalling that u = 1 x2, giving Z 2x √ 1x2 dx = 2 3 (1x2)3/2 c We have completed the integration by substitution Let us analyse this example a little further by comparing the integrand with the general case f(g(x))g′(x) Suppose we write g(x) = 1x2 and f(u) = √ uMultiply x x by x x Move − 2 2 to the left of x x Rewrite − 1 x 1 x as − x x Multiply − 1 1 by − 2 2 Subtract x x from − 2 x 2 x Expand (x2 −3x 2)(x−3) ( x 2 3 x 2) ( x 3) by multiplying each term in the first expression by each term in the second expression Simplify termsCompute answers using Wolfram's breakthrough technology & knowledgebase, relied on by millions of students & professionals For math, science, nutrition, history



Solve The Following Equation For X 1 X 1 2 X 2 1 X 5 X 1 2 Maths Quadratic Equations Meritnation Com



How To Graph A Parabola Y 1 2 X 3 2 5 Socratic
Integrate x^2 sin y dx dy, x=0 to 1, y=0 to pi; The denominators are the same, compare the numerators (x2 − 2x − 1) = A(x2 1) B(x −1)(x2 1) (Cx D)(x −1)2 Let x = 1 −2 = 2A, A = − 1 Coefficients of x2 1 = A −B −2C D Coefficients of x −2 = B C − 2D andAnswer to Solve the polynomial inequality (x 1)(x 2)(x 5) > 0 O(3, 1U 2, 5 O(0,1)/(2, 5) o(1,2 5,00) O(1, U (5



Find The Ratio Of The Sum And Product Of The Roots Of The Equation 7x2 12x 18 0 Brainly In



Ex 4 1 8 If X 2 18 X 6 2 18 6 Then X Is Equal To
About Press Copyright Contact us Creators Advertise Developers Terms Privacy Policy & Safety How works Test new features Press Copyright Contact us CreatorsSimple and best practice solution for (x1)(2x5)=0 equation Check how easy it is, and learn it for the future Our solution is simple, and easy to understand, soIntegrate x/(x1) integrate x sin(x^2) integrate x sqrt(1sqrt(x)) integrate x/(x1)^3 from 0 to infinity;



How Do You Solve 2x 2 5x 3 0 Using The Quadratic Formula Socratic



21 Given A 1 0 2 5 6 11 B 2 1 0 18 28 108 And F X X2 X 2 Find F A Is F A B Brainly In
X 2(5/4)x = 1/4 Now the clever bit Take the coefficient of x , which is 5/4 , divide by two, giving 5/8 , and finally square it giving 25/64 Add 25/64 to both sides of the equationIf X1/x=5 find the value of x21/x2 Get the answer to this question by visiting BYJU'S Q&A ForumClick here👆to get an answer to your question ️ 2x/2x^25x2 >1/ ( x 1 ) Find the number of integral solutions for the given inequality



Solve Quadratic Equations Using The Quadratic Formula Elementary Algebra



Http Wsfcs K12 Nc Us Cms Lib Nc Centricity Domain 1499 Unit 4 test review answers Pdf
Solve your math problems using our free math solver with stepbystep solutions Our math solver supports basic math, prealgebra, algebra, trigonometry, calculus and moreSolve Quadratic Equation by Completing The Square 22 Solving x2x18 = 0 by Completing The Square Add 18 to both side of the equation x2x = 18 Now the clever bit Take the coefficient of x , which is 1 , divide by two, giving 1/2 , and finally square it



Misc 16 Solve Equations 2 X 3 Y 10 Z 4 4 X 6 Y 5 Z 1



Solve The Quadratic Equation X 2 5 I X 18 I 0 Sarthaks Econnect Largest Online Education Community



Www Lcisd Org Docs Default Source Campus Documents Adolphus Elementary Adolphus Math 15 16 3rd Grade Adolphus Fast Facts 2nd 9 Weeksb1134aaaaffe0f77 Pdf Sfvrsn 2



Systems Of Linear Equations



Chapter 1



Www Spsrohini Com Sites Default Files 10 mathematics Quadratic equations Notes Pdf



Find The Roots Of The Following Quadratic Equations By Factorization 1 X 2 3x 10 0 2 2x 2 X 6 0 3 2 X 2 7x 5 2 0 4 2x 2 X 18 0



2



3



Quadratic Formula Discriminant



Selina Concise Mathematics Class 10 Icse Solutions Remainder And Factor Theorems A Plus Topper



The Equation X 2 X 1 2 1 X 2 X 1 X 2 X 5 For X In 2 3 Will Have Number Of Solutions 1 B 2 C 3 D 0



2



Solve Quadratic Equation With Step By Step Math Problem Solver



Chapter Resources Volume 1 Chapters 1 5 Mathnmind



If X 1 X Sqrt 3 Then X 18 X 12 X 6 1 Youtube



Chapter 1



Simultaneous Equations Gmat Math Study Guide



Chapter 13 Solving Simultaneous Equations



Free Math Answers Answers Within 24 Hours Step By Step Explanations



Lake Zurich High School Ppt Download



Solve Quadratic Equations Using The Quadratic Formula Elementary Algebra



Extracting Square Roots



Solve X 2 5x 6 0 Youtube



Www Mrsbisgaard Com Uploads 4 7 8 4 U5 Review Key Pdf



Misc 16 Solve Equations 2 X 3 Y 10 Z 4 4 X 6 Y 5 Z 1



How Do I Use Long Division To Simplify 12x 3 11x 2 9x 18 4x 3 Socratic



Www Waynesville K12 Mo Us Cms Lib07 Mo Centricity Domain 603 A1 c9 l4 worked out solution key Pdf



Quadratic Equations Practice Set Solution For Ibps Rrb Po And Clerk Prelims Mathematical Concepts Teaching Mathematics



Solved Solve The Following Equations Make Sure To Check Chegg Com



X 2 3x 18 0 By Quadratic Formula Brainly In



Mrpankiw Weebly Com Uploads 1 2 1 7 8 3 Pdf



Http Kashifadeel Com Wp Content Uploads 17 11 Qm Ch 3 Pdf



Www Mpsaz Org Rmhs Staff Esritter Algebra2 Files Ch 1 2 Review Key Pdf



How To Solve The Quadratic Equation X 2 5 1 X 5 0 By Completing The Square Method Quora



Quadratic Factorization Using Splitting Of Middle Term



Systems Of Equations With Elimination 4x 2y 5 2x Y 2 5 Video Khan Academy



Www Waynesville K12 Mo Us Cms Lib07 Mo Centricity Domain 603 A1 c4 l7 solution key worked out Pdf



Solving Exponential Equations Using Exponent Properties Advanced Video Khan Academy



Completing The Square



Factorize 2x 2 5x 18 Brainly In



Http Www Math Utep Edu Faculty Cmmundy Math 2301 Solution Manual Pdf



Chapter P Prerequisites Manualzz



2 3 Find The Roots Of Each Equation By Factoring A Chegg Com



Step By Step Math Wolfram Alpha Blog



Answers



Www Unit5 Org Cms Lib03 Il Centricity Domain 2651 Skill day 5 homework solutions Pdf



Solve The Equation And Check Your Result 3 X 2 X 18 Youtube



Solving Equations Algebraically



Quadratic Formula



Quadratic Inequalities Equations And Inequalities Siyavula



Step By Step Math Wolfram Alpha Blog



Using The Quadratic Formula Algebra Video Khan Academy



Hi Static Z Dn Net Files D93 Dba95f953a8e4d73e153b Pdf



2 18 0 Q1 A If A 14 2 And B 3 6 2 4 1 5 Then Chegg Com



Hi Static Z Dn Net Files D93 Dba95f953a8e4d73e153b Pdf



How To Factor A Cubic Polynomial 12 Steps With Pictures



Assignment 3 Equation Of A Line From Two Points



Solving Quadratic Equations Part 2



2



Answered Activity 5 Polynomial Equations Bartleby



1



Ml Aggarwal Solutions For Class 10 Chapter 5 Quadratic Equations In One Variable Free Pdf Available



Free Math Answers Answers Within 24 Hours Step By Step Explanations



Algebra 2 L2 Midterm Review



Solve The Quadratic Equation X 2 5 I X 18 I 0 Sarthaks Econnect Largest Online Education Community



Hi Static Z Dn Net Files D93 Dba95f953a8e4d73e153b Pdf



Step By Step Math Wolfram Alpha Blog



What Is The Number Of Solutions Of The Equation X 2 5 X 6 0 Quora



Free Math Answers Answers Within 24 Hours Step By Step Explanations



Solve Each Quadratic Equation Using The Method Of Gauthmath



Quadratic Formula



Solving Equations Algebraically



Solving System Of Linear Equations By Rank Method



2



Solve The Quadratic Equation X 2 5 I X 18 I 0 Sarthaks Econnect Largest Online Education Community


0 件のコメント:
コメントを投稿